「上手定投Ⅸ」再也不敢梭哈了,可定投多少合适?-基金定投买几个好

Rose 0 2025-12-24

经过漫长下跌,市场似乎已有触底迹象,但很多投资者手上子弹已经不多了……经历这轮漫长下跌,此前想“一夜暴富”的基民或许再也不敢梭哈了。

万物皆周期,有高潮就会有震荡及低谷,为波动而生的“基金定投”确实非常适合平抑市场波动,摊低投资成本。但是,既然加仓是个技术活,那么,定投多少合适呢?

今天,介绍5种方法来确定定投的节奏和比例:

标普资产配置法、每月闲钱投资法、固定百分比法、目标定投法、简化目标定投法。

Day9:定投如何做?何时做?如何开始?如何调整?如何止盈?

10日通关,讲讲基金定投这种滚雪球的智慧。

01 标普资产配置法

首先,

定投应根据每月资金流入的时间和资金量制定“有计划、分批次”的投资目标

,每月工资、房租等可预期的、稳定的现金流都是理想的资金来源。

其次,为了对资金配置进行有效规划,我们可以参考——标准普尔家庭资产配置象限图。象限图通过将资金资产按照不同的用途分类,将每类资金资产进行相应地配置,可以帮助我们更加合理地分配资金。

02 每月闲钱投资法

这一方法最核心处在于如何确定“闲钱”。我们用一个公式来计算:

每月闲钱=(每月收入-每月支出)/2

举个栗子:假设小明月收入10000元,月支出5000元,则每月闲钱就是2500元,那么每月定投金额约2500元,最好不要超过该金额。

不过这一方法有些缺陷,每月支出可能存在较大不确定性,每月收入也或许不同,需要大家预估自身平均月收入及支出水平。

下面固定百分比法可以帮助大家解决这一问题。

03 固定百分比法

用每月收入固定的一部分来定投,通常为月收入10%~20%,可根据个人资产状况进行调整。

举个栗子:小明月收入10000元,按每月收入20%定投,也就是月定投2000元。

04 目标定投法

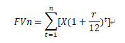
首先,

确定未来一定时间内的收益目标,这样就能确定每年大致的年化收益率,然后再计算出每月的定投金额。

注:FVn:未来我们希望攒多少钱;t:打算攒多少个月份;r:期望获得的年化收益率;X:每月的定投金额。

看到这个公式,小伙伴们可能一脸懵。不过没关系,我们还可以借助EXCEL表格来计算。步骤如下:

(1)打开EXCEL表格,任意区域用英文输入“=PMT(”。

注:rate:年化收益率/12;nper:支付总月份数量;pv:现值;fv:未来我们希望攒多少钱;type:是否期初支付。

(2)在“=PMT(”后输入【年化收益率/12】,假设期望年化收益率为10%,那么就输入“10%/12”,然后用“,”隔开。

(3)接着输入支付总月份数量。假设定投5年,也就是5*12个月,那么就输入“5*12”,然后用“,”隔开。

(4)然后是pv现值,输入“0”,因为还没有买入。然后用“,”隔开。

(5)第四个输入未来我们希望攒多少钱,假设5年后我们希望有10万,就输入“100000”,然后用“,”隔开。

(6)最后type输入“1”表示是期初支付,因为我们通常是从定投开始那天计算。最后完整式子就是

“=PMT(10%/12,5*12,0,100000,1)”

(7)然后我们点击“回车键”就计算出每月需要定投的金额1280.70元。

所以,举个栗子来说,如果小明打算在5年后攒下10万元,期望年化收益率为10%,那么他每月需定投约1280元。

不过,这一方法也存在缺陷,因为未来市场真实的年化收益率和期望年化收益率是不一样的,所以最终收益金额也存在不确定性。

05 简化目标定投法

如果小伙伴们还是觉得上面方法太复杂,我们可以用更简化的目标定投法。

首先,确定目标——

未来一定时间内要攒多少钱,然后用目标金额除以定投月份数量。

举个栗子:如果小明打算在5年后攒下10万元,那么每月定投金额=100000/(5*12)≈1667元。

以上就是队长和大家分享的5种确定每月定投金额的方法,泥萌学会了嘛?

总得来说,大家一定要

“量力而行,坚持定投”

。不要过早地把手里的子弹全部打出去,否则,当市场真正开始筑底时,投资就非常被动啦~

风险提示: 基金的过往业绩及其净值高低并不预示其未来业绩表现,基金管理人管理的其他基金的业绩也不构成对本基金业绩表现的保证。队长提醒投资者基金投资的“买者自负”原则,在做出投资决策后,基金运营状况与基金净值变化引致的投资风险,由投资者自行负担。投资人应当认真阅读《基金合同》、《招募说明书》等基金法律文件,了解基金的风险收益特征,并根据自身的投资目的、投资期限、投资经验、资产状况等判断基金是否和投资人的风险承受能力相适应,根据自身风险承受能力购买基金。

上海光学影像设备厂家

ogp

三次元轮廓投影仪

上一篇: 「上手定投Ⅳ」低位定投胜率高!星期几定投收益更好?-基金定投选什么时间
下一篇: 「专访」祖克曼:太低了!全球最低企业税率应该更高;减少税收不公,政府有多得多的选项-有哪些跨国公司在瑞士避税
猜你喜欢